Bạn có biết hợp chất quen thuộc trong viên “băng phiến” đuổi côn trùng thực chất là một nguyên liệu công nghiệp đóng vai trò thiết yếu? Đó chính là Naphthalene, một hydrocacbon thơm với vai trò không thể thiếu trong ngành sản xuất nhựa, thuốc nhuộm và dược phẩm. Tuy nhiên, đi kèm với ứng dụng rộng rãi là những yêu cầu nghiêm ngặt về an toàn.
Với 20 năm kinh nghiệm trong ngành cung ứng hóa chất công nghiệp, Hóa Chất Doanh Tín sẽ cung cấp một góc nhìn chuyên sâu, toàn diện về Naphthalene, từ cấu trúc phân tử đến các tiêu chuẩn kỹ thuật mà mọi doanh nghiệp cần nắm vững.

Naphthalene là gì và được định nghĩa như thế nào từ góc nhìn hóa học?
Naphthalene (băng phiến) là một hợp chất hữu cơ rắn, kết tinh màu trắng, có công thức hóa học C₁₀H₈, với cấu trúc gồm hai vòng benzen ngưng tụ. Nó được tìm thấy trong tự nhiên ở nhựa than đá và dầu mỏ, nổi bật với khả năng thăng hoa tạo mùi hắc đặc trưng.
Naphthalene (còn được gọi là Naphthalin, băng phiến, long não) là một hợp chất hữu cơ dạng rắn, kết tinh màu trắng, có công thức hóa học là C₁₀H₈. Về mặt cấu trúc, phân tử Naphthalene bao gồm hai vòng benzen ngưng tụ (nối chung một cạnh). Đây là hydrocacbon thơm đa vòng đơn giản nhất.
Trong tự nhiên, Naphthalene có trong nhựa than đá và dầu mỏ. Khả năng thăng hoa đặc trưng – chuyển trực tiếp từ thể rắn sang thể khí ở nhiệt độ phòng – tạo ra mùi hắc mạnh, chính là cơ sở cho ứng dụng xua đuổi côn trùng quen thuộc.
Bảng thông số kỹ thuật của Naphthalene công nghiệp gồm những gì?
Bảng thông số kỹ thuật của Naphthalene công nghiệp bao gồm các chỉ số quan trọng như công thức phân tử (C₁₀H₈), hàm lượng tinh khiết (thường ≥ 98.5%), nhiệt độ nóng chảy (khoảng 79-82°C), độ ẩm, và độ tro, theo các tiêu chuẩn quốc tế như ASTM và TCVN của Việt Nam.
Để đảm bảo chất lượng và an toàn trong sản xuất, Naphthalene cấp công nghiệp phải đáp ứng các tiêu chuẩn kỹ thuật khắt khe. Việc lựa chọn một nhà cung cấp tuân thủ các tiêu chuẩn chất lượng nghiêm ngặt là yếu tố sống còn của doanh nghiệp.

| Thuộc tính | Giá trị tiêu biểu | Đơn vị | Tiêu chuẩn tham chiếu |
|---|---|---|---|
| Công thức phân tử | C₁₀H₈ | – | – |
| Khối lượng phân tử | 128.17 | g/mol | – |
| Hàm lượng Naphthalene | ≥ 98.5 | % | ASTM D2431 |
| Dạng | Tinh thể vảy/bột | – | Quan sát |
| Màu sắc | Trắng | – | Quan sát |
| Nhiệt độ nóng chảy | 79 – 82 | °C | ASTM D1493 |
| Độ ẩm | ≤ 0.1 | % | Karl Fischer |
| Độ tro | ≤ 0.05 | % | TCVN 6492 |
Góc Nhìn Chuyên Gia – Nguyễn Thị Mỹ Linh, Trưởng phòng Kỹ thuật Hóa Chất Doanh Tín:
“Tại Doanh Tín, chúng tôi nhận thấy rằng ‘độ tinh khiết’ không chỉ là một con số. Hàm lượng Naphthalene trên 98.5% quyết định đến hiệu suất phản ứng và chất lượng sản phẩm cuối cùng. Đây là minh chứng cho tầm quan trọng của một chất tinh khiết trong sản xuất công nghiệp, giúp tránh các sự cố không đáng có cho cả dây chuyền.”
Những tính chất hóa học đặc trưng của Naphthalene là gì?
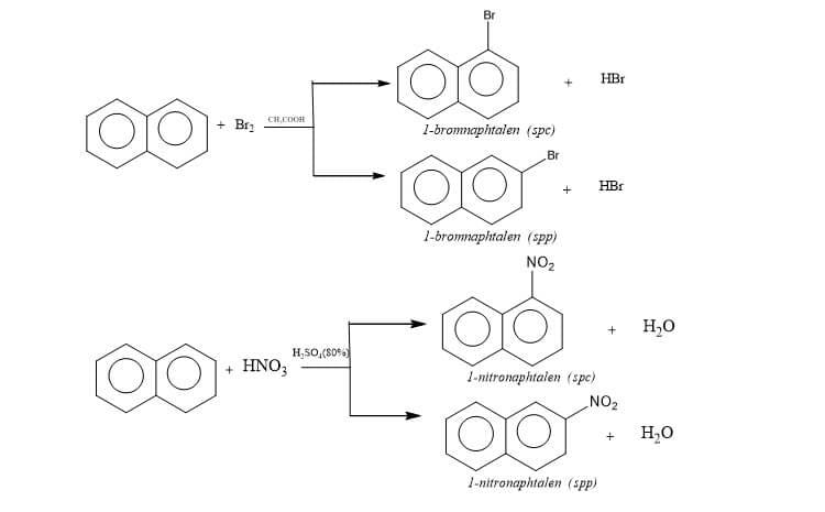
Naphthalene có ba tính chất hóa học đặc trưng: (1) Phản ứng thế Electrophin xảy ra nhanh hơn benzen, (2) Phản ứng oxy hóa để tạo thành Anhydrit Phthalic, và (3) Phản ứng cộng Hydro để tạo thành Tetralin và Decalin.
Hiểu rõ các phản ứng hóa học của Naphthalene là chìa khóa để ứng dụng hiệu quả trong sản xuất.

Phản ứng thế Electrophin của Naphthalene diễn ra như thế nào?
Phản ứng thế Electrophin của Naphthalene diễn ra nhanh hơn so với benzen và ưu tiên xảy ra ở vị trí alpha (C1, C4, C5, C8) do tạo ra cacbocation trung gian bền vững hơn.
Đây là một tính chất quan trọng, cho phép Naphthalene dễ dàng tham gia vào các quá trình tổng hợp hóa học hơn so với benzen, tạo ra các dẫn xuất đa dạng cho nhiều ngành công nghiệp.
Phản ứng oxy hóa của Naphthalene có tầm quan trọng gì?
Đây là phản ứng quan trọng bậc nhất trong công nghiệp, biến Naphthalene thành Anhydrit Phthalic, một tiền chất cốt lõi để sản xuất chất hóa dẻo, nhựa polyester và thuốc nhuộm.
Quá trình này thường được thực hiện khi Naphthalene bị oxy hóa mạnh bởi một chất oxy hóa với chất xúc tác Vanadi(V) oxit (V₂O₅) ở nhiệt độ cao. Hàng triệu tấn Anhydrit Phthalic được sản xuất mỗi năm trên toàn cầu từ nguồn Naphthalene.
Phản ứng cộng Hydro (Hydro hóa) của Naphthalene tạo ra sản phẩm gì?
Phản ứng này tạo ra hai sản phẩm chính là Tetralin và Decalin, cả hai đều là những dung môi hữu cơ quan trọng được sử dụng rộng rãi trong công nghiệp.

Dưới tác dụng của xúc tác và áp suất, Naphthalene có thể bị hydro hóa để tạo thành các dung môi hữu cơ này, phục vụ cho các ứng dụng đòi hỏi dung môi có khả năng chịu nhiệt và hòa tan tốt.
Ngoài làm băng phiến, Naphthalene có những ứng dụng nào khác?
Ngoài làm băng phiến, Naphthalene là nguyên liệu công nghiệp cốt lõi để sản xuất hóa chất trung gian (như Anhydrit Phthalic), thuốc nhuộm, chất màu, và được dùng trong ngành nông dược cũng như hóa chất xây dựng (chất siêu dẻo cho bê tông).
Mặc dù được biết đến nhiều nhất với công dụng làm băng phiến, giá trị thực sự của Naphthalene nằm ở các ứng dụng công nghiệp quy mô lớn.
- Sản xuất hóa chất trung gian: Là ứng dụng lớn nhất, chủ yếu để tạo ra Anhydrit Phthalic, một hợp chất quan trọng trong sản xuất nhựa (polymer) như Poli(vinyl clorua) – PVC.
- Sản xuất thuốc nhuộm và chất màu: Nhiều loại thuốc nhuộm azo được tổng hợp từ các dẫn xuất của Naphthalene, ứng dụng trong ngành dệt may.
- Ngành nông dược và hóa chất xây dựng: Dùng trong thuốc trừ sâu và đặc biệt là chất siêu dẻo cho bê tông gốc Naphthalene Sulfonate (SNF).
CASE STUDY THỰC TẾ CỦA DOANH TÍN:
Dự án: Cung cấp Naphthalene cho nhà máy sản xuất phụ gia bê tông tại Đồng Nai.
Thách thức: Khách hàng yêu cầu sản phẩm có độ phân tán cao và hàm lượng sunfat thấp để đảm bảo chất lượng bê tông cường độ cao.
Giải pháp: Doanh Tín đã tư vấn và cung cấp lô Naphthalene với độ tinh khiết 99%, được kiểm định độc lập, giúp khách hàng tối ưu hóa công thức phụ gia, giảm 15% lượng nước trộn và tăng cường độ bê tông sau 28 ngày lên 20%.
Naphthalene có độc tính không và cần những biện pháp an toàn nào khi sử dụng?
Có, Naphthalene có độc tính và được xếp vào nhóm có thể gây ung thư cho người (Nhóm 2B – IARC). Các biện pháp an toàn bắt buộc bao gồm đảm bảo thông gió, sử dụng đầy đủ đồ bảo hộ cá nhân (PPE), lưu trữ đúng cách và luôn đọc kỹ Bảng Dữ liệu An toàn (MSDS).
Hóa Chất Doanh Tín luôn đặt sự an toàn lên hàng đầu. Hiểu rõ tác hại của hóa chất là bước đầu tiên để làm việc an toàn. Theo **Cơ quan Nghiên cứu Ung thư Quốc tế (IARC)**, Naphthalene được xếp vào **Nhóm 2B** – “có thể gây ung thư cho người”, dựa trên các bằng chứng từ thử nghiệm trên động vật.

Những rủi ro khi phơi nhiễm Naphthalene là gì?
Phơi nhiễm Naphthalene có thể gây rủi ro qua đường hô hấp (đau đầu, buồn nôn), tiếp xúc da (gây kích ứng), và đặc biệt nguy hiểm nếu nuốt phải (gây tan máu cấp, suy thận).
Trẻ em và phụ nữ mang thai là những đối tượng đặc biệt nhạy cảm với độc tính của Naphthalene. Việc nuốt nhầm băng phiến có thể gây ra hậu quả nghiêm trọng và cần được cấp cứu y tế ngay lập tức.
Những quy tắc an toàn bắt buộc trong môi trường công nghiệp là gì?
Bốn quy tắc vàng bao gồm: (1) Đảm bảo thông gió tốt, (2) Sử dụng đầy đủ trang bị bảo hộ cá nhân (PPE), (3) Tuân thủ quy trình lưu trữ và bảo quản hóa chất, và (4) Luôn đọc kỹ và hiểu rõ Bảng Dữ liệu An toàn (MSDS) trước khi sử dụng.
- Thông gió: Luôn đảm bảo khu vực làm việc và lưu trữ được thông gió tốt để nồng độ hơi Naphthalene trong không khí luôn ở dưới mức cho phép.
- Trang bị Bảo hộ Cá nhân (PPE): Bắt buộc sử dụng đầy đủ trang bị bảo hộ cá nhân tiêu chuẩn, bao gồm găng tay, kính bảo hộ và mặt nạ phòng độc có phin lọc phù hợp.
- Lưu trữ: Tuân thủ quy trình bảo quản hóa chất, để sản phẩm trong bao bì kín, dán nhãn rõ ràng, tại nơi khô ráo, thoáng mát và tránh xa nguồn nhiệt.
- Đọc kỹ MSDS: Luôn tham khảo Bảng chỉ dẫn an toàn hóa chất trước khi sử dụng để hiểu rõ các rủi ro và quy trình xử lý sự cố.
Những câu hỏi thường gặp về Naphthalene là gì?
Các câu hỏi thường gặp bao gồm sự khác biệt giữa Naphthalene và Paradichlorobenzene, cách khử mùi băng phiến trên quần áo, và chính sách cung cấp Naphthalene của các nhà phân phối công nghiệp.
Naphthalene có phải là Paradichlorobenzene không?
Không. Cả hai đều được dùng làm băng phiến nhưng là hai hóa chất khác nhau. Paradichlorobenzene ít bắt lửa và được cho là ít độc hơn, tuy nhiên hiệu quả đuổi côn trùng cũng có thể khác biệt.
Làm thế nào để khử mùi băng phiến trên quần áo?
Phơi quần áo ở nơi thoáng gió, có nắng trong vài giờ. Giặt lại với giấm hoặc baking soda (NaHCO₃) cũng có thể giúp trung hòa và loại bỏ mùi hắc còn sót lại.
Doanh Tín có cung cấp Naphthalene số lượng nhỏ không?
Chúng tôi chủ yếu cung cấp Naphthalene cấp công nghiệp với số lượng lớn cho các nhà máy và doanh nghiệp sản xuất. Vui lòng liên hệ bộ phận kinh doanh để được tư vấn cụ thể về quy cách đóng gói và số lượng đặt hàng tối thiểu.
Kết Luận: Lựa Chọn Nhà Cung Cấp Naphthalene Uy Tín
Naphthalene là một hóa chất có vai trò kép: vừa là một sản phẩm gia dụng quen thuộc, vừa là một nguyên liệu công nghiệp thiết yếu. Việc hiểu rõ bản chất, tính chất và đặc biệt là các yêu cầu an toàn là điều kiện tiên quyết để khai thác tối đa lợi ích mà hợp chất này mang lại.
Tại Hóa Chất Doanh Tín, chúng tôi không chỉ cung cấp sản phẩm Naphthalene đạt chuẩn, mà còn đồng hành cùng khách hàng bằng những tư vấn kỹ thuật chuyên sâu và các giải pháp an toàn toàn diện.
Bạn cần tư vấn kỹ thuật chuyên sâu về Naphthalene?
Đội ngũ chuyên gia của chúng tôi sẵn sàng hỗ trợ bạn lựa chọn sản phẩm phù hợp và xây dựng quy trình an toàn.
Tuyên bố miễn trừ trách nhiệm: Các thông tin trong bài viết này chỉ mang tính chất tham khảo. Người sử dụng hóa chất phải luôn tuân thủ các hướng dẫn trên Bảng dữ liệu an toàn (MSDS) và các quy định pháp luật hiện hành như Luật Hóa chất. Hóa Chất Doanh Tín không chịu trách nhiệm cho bất kỳ tổn thất nào phát sinh từ việc sử dụng thông tin trong bài viết này.





