Làm thế nào để một loại phụ gia duy nhất có thể ngăn nước sốt tách lớp, tạo độ sánh mịn cho kem, và giữ các hạt trái cây lơ lửng đều trong sữa chua? Câu trả lời nằm ở một polymer sinh học với mã số E415: Xanthan Gum. Với kinh nghiệm 10 năm trực tiếp hỗ trợ khách hàng R&D, tôi sẽ cung cấp một hướng dẫn kỹ thuật toàn diện giúp doanh nghiệp của bạn khai thác tối đa tiềm năng của loại hydrocolloid vượt trội này.
Xanthan Gum là gì và tại sao nó được xem là “Chất Làm Đặc” đa năng nhất?
Xanthan Gum là một polysaccharide tự nhiên (E415) được sản xuất từ quá trình lên men vi khuẩn. Nó đa năng vì có khả năng làm đặc, ổn định, và tạo kết cấu vượt trội cho sản phẩm ngay cả ở nồng độ rất thấp, đồng thời bền vững trong nhiều điều kiện môi trường khắc nghiệt.
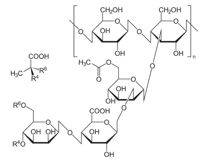
Xanthan Gum (Mã phụ gia quốc tế: E415) là một heteropolysaccharide có trọng lượng phân tử cao, được sản xuất thông qua quá trình lên men được kiểm soát chặt chẽ của vi khuẩn *Xanthomonas campestris* với nguồn carbohydrate (thường là glucose). Về bản chất, đây không phải là một hợp chất tổng hợp mà là một sản phẩm sinh học tự nhiên. Cấu trúc phân tử độc đáo của nó, bao gồm một mạch chính cellulose với các chuỗi bên trisaccharide, tạo thành một cấu trúc xoắn kép cực kỳ bền vững. Chính cấu trúc này là chìa khóa mang lại những đặc tính lưu biến và độ ổn định phi thường, biến Xanthan Gum thành một công cụ không thể thiếu cho các chuyên gia R&D.

Tên gọi khác: Gum Xanthan, Corn Sugar Gum
Mã số CAS: 11138-66-2
Công thức hóa học: (C₃₅H₄₉O₂₉)n
Các Đặc Tính Kỹ Thuật Vượt Trội Của Xanthan Gum là gì?
Hiểu rõ các tính chất cốt lõi của Xanthan Gum là bước đầu tiên để tối ưu hóa công thức sản phẩm.
Tại sao Xanthan Gum lại tạo được độ nhớt cao ngay cả ở nồng độ thấp?
Do cấu trúc phân tử cồng kềnh, phân nhánh và có trọng lượng phân tử cao, các chuỗi Xanthan Gum tương tác với nhau và với phân tử nước để tạo thành một mạng lưới ba chiều phức tạp, hiệu quả bẫy nước và tạo ra độ nhớt cao mà không cần nồng độ lớn.
Khác với các chất làm đặc truyền thống như hồ tinh bột hay CMC (Carboxymethyl Cellulose), Xanthan Gum tạo ra độ nhớt đáng kể ngay cả ở nồng độ rất thấp (0.1% – 1.0%). Điều này không chỉ giúp tiết kiệm chi phí mà còn duy trì cảm quan tự nhiên của sản phẩm.

Tính Giả Dẻo (Pseudoplasticity) là gì và tại sao nó quan trọng cho cảm quan và sản xuất?
Tính giả dẻo là khả năng của một chất lỏng giảm độ nhớt khi chịu lực (khuấy, rót) và trở lại trạng thái đặc ban đầu khi đứng yên. Nó quan trọng vì giúp sản phẩm dễ sản xuất (bơm, rót) và mang lại cảm giác tan nhanh, giải phóng hương vị tốt trong miệng cho người tiêu dùng.
Đây là đặc tính thông minh nhất của Xanthan Gum. Khi đứng yên, các phân tử tạo thành một mạng lưới giữ cho dung dịch có độ nhớt cao. Khi có lực tác động (khuấy, rót), cấu trúc này bị phá vỡ tạm thời, độ nhớt giảm mạnh, giúp sản phẩm dễ dàng được bơm qua đường ống và mang lại cảm giác tan nhanh trong miệng.

Làm thế nào Xanthan Gum có thể hoạt động ổn định trong môi trường khắc nghiệt như pH và nhiệt độ biến đổi?
Cấu trúc xoắn kép cứng nhắc của Xanthan Gum bảo vệ các liên kết hóa học nhạy cảm ở mạch chính khỏi sự tấn công của axit, bazơ và enzyme. Các chuỗi bên của nó cũng giúp duy trì sự hydrat hóa và cấu trúc mạng lưới ổn định qua các chu trình nhiệt độ.
Khả năng duy trì độ nhớt trong khoảng pH rộng (2-12) làm cho Xanthan Gum trở thành lựa chọn lý tưởng cho các sản phẩm có tính axit cao như nước sốt cà chua, hay môi trường bazơ trong một số ứng dụng công nghiệp. Nó cũng chịu được các chu kỳ đông lạnh – rã đông mà không làm suy giảm cấu trúc sản phẩm.

Khả năng hydrat hóa và sức mạnh tổng hợp của Xanthan Gum thể hiện như thế nào?
Xanthan Gum hydrat hóa (hòa tan) dễ dàng trong cả nước nóng và lạnh. Sức mạnh tổng hợp của nó thể hiện qua việc khi kết hợp với các hydrocolloid khác như Guar Gum hay Locust Bean Gum, nó tạo ra hiệu ứng kết cấu (độ nhớt hoặc gel) mạnh hơn đáng kể so với khi sử dụng riêng lẻ từng chất.
Xanthan Gum hòa tan tốt trong cả nước nóng và nước lạnh.
Góc nhìn chuyên gia từ Nguyễn Thị Mỹ Linh:
“Nhiều khách hàng của chúng tôi tại Doanh Tín ban đầu gặp khó khăn với việc vón cục. Bí quyết mà chúng tôi chia sẻ là hãy tạo một ‘vortex’ (xoáy nước) mạnh trong bồn khuấy và rắc từ từ bột gum vào thành của xoáy. Điều này đảm bảo mỗi hạt được làm ướt ngay lập tức trước khi chúng kịp liên kết với nhau.”
Khi kết hợp, Xanthan Gum tạo ra hiệu ứng cộng hưởng mạnh mẽ với các hydrocolloid khác, một chiến lược giúp tối ưu hóa chi phí và kết cấu.
| Kết hợp với | Kết quả | Ứng dụng tiêu biểu |
|---|---|---|
| Guar Gum | Tăng độ nhớt đáng kể | Nước sốt, súp (tối ưu chi phí) |
| Locust Bean Gum | Tạo gel đàn hồi, dẻo dai | Mứt, thạch (thay thế gelatin) |
| Carrageenan | Ngăn tách nước, ổn định gel sữa | Panna cotta, pudding, sữa chua uống |
Ứng Dụng Chiến Lược Của Xanthan Gum Trong Các Ngành Công Nghiệp là gì?
Xanthan Gum được ứng dụng trong ngành thực phẩm và đồ uống như thế nào?
Trong thực phẩm, Xanthan Gum được dùng làm chất làm đặc, chất ổn định, và chất tạo huyền phù. Nó giúp ngăn tách lớp trong nước sốt, tạo độ sánh mịn cho sản phẩm sữa, giữ các hạt lơ lửng trong đồ uống và cải thiện cấu trúc cho các loại bánh không chứa gluten.
Là một phụ gia thực phẩm đa năng, Xanthan Gum giải quyết nhiều thách thức.
Case Study từ Doanh Tín:
Thách thức: Một khách hàng sản xuất tương ớt đối mặt với vấn đề sản phẩm bị tách lớp nước sau 2 tháng lưu kho.
Giải pháp của Doanh Tín: Chúng tôi tư vấn thay thế một phần tinh bột biến tính bằng 0.35% Xanthan Gum F80. Nó thường được kết hợp với các chất điều chỉnh độ acid như Acid Citric để tối ưu hóa hương vị.
Kết quả: Sản phẩm cuối cùng ổn định hoàn toàn trong 12 tháng, bề mặt bóng đẹp hơn, kết cấu mịn và vị cay được giải phóng tốt hơn.
Xanthan Gum có vai trò gì trong ngành mỹ phẩm và chăm sóc cá nhân?
Câu trả lời ngắn: Trong mỹ phẩm, Xanthan Gum là chất làm đặc và chất ổn định nhũ tương chính, tạo ra kết cấu mượt mà, sang trọng cho kem dưỡng, lotion, serum và dầu gội, đồng thời giúp các hoạt chất phân bố đều.
Trong kem dưỡng, lotion, và serum, Xanthan Gum tạo ra một kết cấu mượt mà, ổn định và kết hợp hoàn hảo với các chất giữ ẩm như Glycerol (Glycerine).

Các Tiêu Chuẩn Chất Lượng và Quy Định Pháp Lý Tại Việt Nam đối với Xanthan Gum là gì?
Tại Việt Nam, Xanthan Gum (E415) được phép sử dụng trong thực phẩm theo TCVN 7871:2008 và Thông tư 24/2019/TT-BYT của Bộ Y Tế. Việc sử dụng phải tuân thủ các quy định về an toàn hóa chất và ghi nhãn GHS theo Luật Hóa Chất hiện hành.
Tại Hóa Chất Doanh Tín, chúng tôi cam kết chất lượng và sự tuân thủ. Xanthan Gum (E415) của chúng tôi tuân thủ TCVN 7871:2008 và Thông tư 24/2019/TT-BYT của Bộ Y Tế, phù hợp với các nguyên tắc về ghi nhãn hóa chất theo GHS và các cập nhật mới nhất của Luật Hóa Chất.
Hướng Dẫn Kỹ Thuật & Cách Khắc Phục Các Sự Cố Thường Gặp khi sử dụng Xanthan Gum?
| Vấn đề | Nguyên nhân có thể | Giải pháp từ chuyên gia Doanh Tín |
|---|---|---|
| Vón cục (Fish Eyes) | Tốc độ hydrat hóa quá nhanh. | 1. Trộn khô với đường/muối (tỷ lệ 1:5). 2. Dùng máy khuấy tốc độ cao. 3. Phân tán trước trong dầu hoặc glycol. |
| Độ nhớt không đủ | Liều lượng quá thấp, pH không tối ưu. | 1. Kiểm tra lại liều lượng (bắt đầu với 0.5%). 2. Đảm bảo pH dung dịch từ 4-10. 3. Xem xét sử dụng Xanthan Gum kháng muối. |
| Sản phẩm bị tách nước | Mạng lưới polymer yếu. | Tăng nhẹ nồng độ Xanthan Gum (thêm 0.05-0.1%) hoặc kết hợp với Guar Gum để tăng cường liên kết. |
Tại sao nên lựa chọn Hóa Chất Doanh Tín làm đối tác cung cấp Xanthan Gum?
Câu trả lời ngắn: Vì Hóa Chất Doanh Tín không chỉ cung cấp sản phẩm chất lượng, ổn định mà còn mang đến sự tư vấn kỹ thuật chuyên sâu, giải pháp tối ưu cho công thức và sự đồng hành đáng tin cậy, giúp khách hàng đầu tư vào sự ổn định và thành công lâu dài của sản phẩm.
Việc lựa chọn đúng nhà cung cấp không chỉ là mua một sản phẩm, mà là đầu tư vào sự ổn định và chất lượng.
“Chúng tôi đã chuyển sang sử dụng Xanthan Gum từ Hóa Chất Doanh Tín và nhận thấy sự khác biệt rõ rệt về độ ổn định của sản phẩm kem dừa. Đội ngũ hỗ trợ rất nhiệt tình.”
– Anh Minh, Trưởng phòng R&D, Công ty Thực phẩm ABC.
Bạn đang gặp thách thức với công thức của mình?
Đừng ngần ngại! Hãy điền vào form dưới đây để nhận tư vấn kỹ thuật miễn phí từ chuyên gia của chúng tôi.
Khám phá chi tiết thông số kỹ thuật và đặt mua sản phẩm Xanthan Gum chất lượng cao của chúng tôi ngay hôm nay.
Các Câu Hỏi Thường Gặp (FAQ) về Xanthan Gum là gì?
Hỏi: Xanthan Gum có phải là sản phẩm tự nhiên không?
Đáp: Có, nó được sản xuất từ quá trình lên men vi sinh vật tự nhiên, tương tự như sản xuất sữa chua hay bia. Nó được coi là một thành phần “clean label”.
Hỏi: Sử dụng Xanthan Gum có an toàn cho sức khỏe không?
Đáp: Hoàn toàn an toàn. Nó đã được FDA Hoa Kỳ, EFSA Châu Âu và Bộ Y Tế Việt Nam phê duyệt là phụ gia thực phẩm an toàn. Cơ thể người không tiêu hóa được nó, vì vậy nó không cung cấp calo.
Hỏi: Sự khác biệt chính giữa Xanthan Gum F80 và F200 là gì?
Đáp: Sự khác biệt nằm ở kích thước hạt. F200 (200 mesh) mịn hơn F80 (80 mesh), giúp nó hòa tan nhanh hơn và phù hợp cho các ứng dụng cần độ trong suốt cao hoặc sản xuất quy mô lớn yêu cầu thời gian hòa tan ngắn.
Hỏi: Tôi có thể dùng Xanthan Gum thay thế cho gelatin không?
Đáp: Có thể dùng để thay thế chức năng làm đặc và ổn định, đặc biệt trong các sản phẩm chay. Tuy nhiên, Xanthan Gum một mình không tạo gel đàn hồi như gelatin. Để tạo gel, bạn cần kết hợp nó với Locust Bean Gum.
Tuyên bố Miễn trừ Trách nhiệm:
Thông tin trong bài viết này được cung cấp cho mục đích tham khảo và dựa trên kiến thức chuyên môn của Hóa Chất Doanh Tín. Người sử dụng có trách nhiệm tự kiểm tra và xác nhận sự phù hợp của sản phẩm cho ứng dụng cụ thể của mình, tuân thủ mọi quy định pháp luật hiện hành. Hóa Chất Doanh Tín không chịu trách nhiệm cho bất kỳ tổn thất nào phát sinh từ việc sử dụng thông tin này.
Người kiểm duyệt nội dung
PGS.TS Đặng Hoàng Phú
Cố vấn chuyên môn cấp cao tại Hóa Chất Doanh Tín. Phó Giáo sư, Giảng viên Khoa Hóa học (ĐH KHTN ĐHQG-HCM) với hơn 10 năm kinh nghiệm nghiên cứu Hóa hữu cơ & Phổ nghiệm.
Xem hồ sơ năng lực & công bố khoa học →














Đánh giá
Chưa có đánh giá nào.