Trong thế giới hóa học hữu cơ, không nhiều nhóm chức lại sở hữu sự linh hoạt và tầm quan trọng như gốc benzyl (C₆H₅CH₂-). Bạn có biết rằng sự ổn định đặc biệt của cấu trúc này chính là chìa khóa mở ra vô số ứng dụng, từ sản xuất dược phẩm cứu người đến tạo nên hương thơm quyến rũ trong mỹ phẩm? Tại Hóa Chất Doanh Tín, với kinh nghiệm cung ứng hóa chất công nghiệp, chúng tôi nhận thấy sự hiểu biết sâu sắc về gốc benzyl không chỉ là kiến thức nền tảng mà còn là lợi thế cạnh tranh. Bài viết này sẽ đi sâu phân tích toàn diện về gốc benzyl, từ cấu trúc phân tử đến các ứng dụng công nghiệp và tiêu chuẩn an toàn đi kèm.
Góc nhìn chuyên gia – Nguyễn Thị Mỹ Linh, Trưởng phòng Kỹ thuật Hóa Chất Doanh Tín:
“Khách hàng của chúng tôi thường đối mặt với hai thách thức lớn: đảm bảo độ tinh khiết của nguyên liệu đầu vào và tối ưu hóa hiệu suất phản ứng. Một hợp chất tưởng chừng đơn giản như Benzyl Alcohol, nếu chứa tạp chất dù chỉ một lượng nhỏ, cũng có thể ảnh hưởng đến màu sắc, mùi hương của sản phẩm cuối cùng hoặc gây ra các phản ứng phụ không mong muốn. Đó là lý do tại sao quy trình QC của chúng tôi không chỉ dừng lại ở việc kiểm tra các chỉ số cơ bản.”
1. Gốc Benzyl là gì và làm thế nào để phân biệt chính xác với Gốc Phenyl?
Gốc benzyl là một nhóm chức hữu cơ (C₆H₅CH₂-) gồm một vòng benzen liên kết với nhóm metylen (-CH₂-). Nó khác biệt cơ bản với gốc phenyl (C₆H₅-), nơi liên kết xảy ra trực tiếp trên vòng benzen.
Hiểu sai về danh pháp hóa học có thể dẫn đến những nhầm lẫn tai hại trong R&D và sản xuất. Vì vậy, hãy bắt đầu từ những định nghĩa cơ bản và chính xác nhất.

1.1. Định nghĩa và công thức hóa học của gốc Benzyl là gì?
Gốc benzyl là một nhóm chức hữu cơ có công thức hóa học là C₆H₅CH₂-. Cấu trúc của nó bao gồm một vòng benzen (một dạng hidrocacbon thơm) liên kết với một nhóm metylen (-CH₂-), và chính nhóm -CH₂- này tạo nên các tính chất hóa học đặc trưng.
Hãy hình dung nó như một phân tử toluen (C₆H₅CH₃) bị mất đi một nguyên tử hydro từ nhóm methyl. Nguyên tử carbon của nhóm metylen này được gọi là carbon benzylic, và nó đóng vai trò trung tâm trong hầu hết các phản ứng của gốc benzyl.
1.2. Sự khác biệt cốt lõi giữa gốc Benzyl và gốc Phenyl là gì?
Sự khác biệt chính nằm ở điểm liên kết: gốc benzyl liên kết thông qua carbon của nhóm -CH₂- bên ngoài vòng, trong khi gốc phenyl liên kết trực tiếp tại một carbon của vòng benzen. Điều này làm cho gốc benzyl linh động và dễ phản ứng hơn nhiều.
Đây là một điểm nhầm lẫn rất phổ biến. Mặc dù cả hai đều chứa vòng benzen, chúng hoàn toàn khác nhau về cấu trúc và khả năng phản ứng.
| Tiêu chí | Gốc Benzyl | Gốc Phenyl |
|---|---|---|
| Công thức | C₆H₅CH₂- | C₆H₅- |
| Điểm liên kết | Tại carbon nhóm -CH₂- | Trực tiếp tại carbon vòng benzen |
| Khả năng phản ứng | Rất linh động, dễ thế (S_N1/S_N2) | Rất trơ, khó tham gia phản ứng thế |
| Ví dụ | Ancol benzylic (C₆H₅CH₂OH) | Phenol (C₆H₅OH) |
2. Tính chất hóa học đặc trưng của gốc Benzyl là gì?
Tính chất đặc trưng của gốc benzyl đến từ sự bền vững của các trạng thái trung gian (carbocation, gốc tự do) tại vị trí carbon benzylic do hiệu ứng cộng hưởng với vòng benzen, giúp nó dễ dàng tham gia các phản ứng oxi hóa và phản ứng thế.
Sự độc đáo của gốc benzyl đến từ sự tương tác điện tử giữa vòng benzen và nhóm -CH₂- liền kề.

2.1. Tại sao gốc Benzyl lại bền vững?
Gốc benzyl bền vững nhờ hiệu ứng cộng hưởng. Khi một điện tích hoặc electron độc thân hình thành tại carbon benzylic, nó sẽ được giải tỏa (san sẻ) vào toàn bộ hệ thống electron pi của vòng benzen, làm giảm năng lượng và tăng tính ổn định cho trạng thái trung gian.
Sự giải tỏa này làm giảm năng lượng hoạt hóa cho các phản ứng, khiến chúng xảy ra dễ dàng hơn. Đây là lý do chính tại sao các phản ứng thế tại vị trí benzylic (ví dụ, phản ứng S_N1) xảy ra nhanh hơn nhiều so với các alkyl halide tương ứng.
2.2. Khả năng phản ứng của Carbon Benzylic như thế nào?
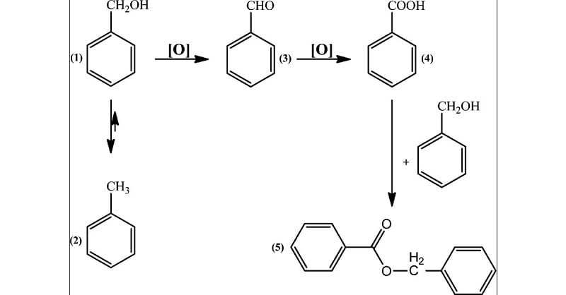
Carbon benzylic rất linh động, có khả năng tham gia vào nhiều phản ứng quan trọng như phản ứng oxi hóa (dễ bị oxi hóa thành axit carboxylic), phản ứng thế gốc tự do với halogen, và phản ứng thế nucleophile (cả S_N1 và S_N2).
Carbon benzylic là trung tâm của các hoạt động hóa học. Nó có thể tham gia vào nhiều loại phản ứng quan trọng:
- Phản ứng Oxi hóa: Dễ dàng bị oxi hóa. Ví dụ, toluen có thể bị oxi hóa mạnh bởi Thuốc tím (KMnO₄) để tạo thành axit benzoic.
- Phản ứng thế gốc tự do: Phản ứng với các halogen như Brom (Br₂) dưới tác dụng của ánh sáng UV để tạo thành benzyl halide.
- Phản ứng thế Nucleophile (S_N1 và S_N2): Benzyl halide là cơ chất tuyệt vời cho cả hai loại phản ứng này.
3. Vai trò của gốc Benzyl trong tổng hợp hữu cơ là gì?
Trong tổng hợp hữu cơ, gốc benzyl đóng hai vai trò chính: làm “nhóm bảo vệ” (Bn) để che chắn các nhóm chức nhạy cảm (như -OH, -NH₂) khỏi các phản ứng không mong muốn, và làm tiền chất để tổng hợp ra nhiều hợp chất quan trọng khác.
Trong phòng thí nghiệm và nhà máy, gốc benzyl là một công cụ không thể thiếu của các nhà hóa học tổng hợp.
3.1. Nhóm bảo vệ Benzyl (Bn) hoạt động như thế nào?
Nhóm bảo vệ Benzyl hoạt động như một “vệ sĩ” hóa học: nó dễ dàng gắn vào nhóm chức cần bảo vệ, bền vững trong nhiều điều kiện phản ứng, và có thể được gỡ bỏ một cách chọn lọc và hiệu quả (thường bằng hydro hóa có xúc tác) sau khi các phản ứng khác hoàn tất.
Trong quá trình tổng hợp các phân tử phức tạp (như dược phẩm), một số nhóm chức nhạy cảm như ancol (-OH) hoặc amine (-NH₂) cần được “che chắn”. Gốc benzyl là một “nhóm bảo vệ” lý tưởng.
3.2. Gốc benzyl là tiền chất để tổng hợp những hợp chất quan trọng nào?
Các hợp chất chứa gốc benzyl là nguyên liệu đầu vào để sản xuất ancol benzylic (dùng trong dược phẩm, hương liệu), benzylamine (dùng trong sản xuất thuốc, thuốc nhuộm), và benzyl cyanide (chất trung gian để tổng hợp tiền chất của penicillin).
Việc cung ứng các hóa chất chuyên dụng này đòi hỏi độ tin cậy cao, tương tự như các nhà phân phối lớn như Sigma-Aldrich.
4. Ứng dụng thực tiễn của hợp chất Benzyl trong công nghiệp là gì?
Hợp chất benzyl có ứng dụng rộng rãi trong nhiều ngành công nghiệp, đặc biệt là dược phẩm và hóa mỹ phẩm (làm chất bảo quản, dung môi, chất tạo mùi), và ngành hóa chất – vật liệu (làm dung môi cho sơn, mực in và làm chất hóa dẻo cho polymer).
Từ lý thuyết đến thực tiễn, các hợp chất chứa gốc benzyl có mặt ở khắp mọi nơi.
[CASE STUDY] Ứng Dụng Benzyl Alcohol Của Doanh Tín Trong Sản Xuất Mỹ Phẩm
Khách hàng: Một thương hiệu mỹ phẩm Việt Nam chuyên về các sản phẩm chăm sóc da thiên nhiên.
Thách thức: Sản phẩm serum của họ gặp vấn đề về thời hạn sử dụng ngắn, dễ bị nhiễm khuẩn sau khi mở nắp, ảnh hưởng đến uy tín thương hiệu.
Giải pháp của Doanh Tín: Chúng tôi đã tư vấn và cung cấp Benzyl Alcohol đạt chuẩn Dược điển (USP Grade) với độ tinh khiết >99.8%. Đội ngũ kỹ thuật đã làm việc cùng R&D của khách hàng để xác định nồng độ tối ưu (khoảng 0.5%) để vừa phát huy hiệu quả bảo quản, vừa không gây kích ứng da.
Kết quả: Thời hạn sử dụng của sản phẩm tăng thêm 12 tháng. Tỷ lệ phản hồi tiêu cực về chất lượng sản phẩm giảm 80%. Khách hàng tiếp tục ký hợp đồng cung ứng dài hạn.
4.1. Ứng dụng trong ngành Dược phẩm và Hóa mỹ phẩm?
Trong ngành này, Benzyl Alcohol được dùng làm chất bảo quản kháng khuẩn, dung môi; Benzyl Benzoate dùng làm thuốc trị ghẻ, chất định hương; và các Este Benzyl được dùng để tạo mùi hương trong nước hoa, xà phòng.
Benzyl Alcohol được sử dụng rộng rãi làm chất bảo quản kháng khuẩn, tương tự như Chloramin B. Nó cũng là một dung môi hiệu quả, giống như Isopropyl Alcohol (IPA) hay Ethanol.

4.2. Ứng dụng trong ngành Hóa chất và Vật liệu?
Trong ngành hóa chất và vật liệu, Benzyl alcohol được dùng làm dung môi cho sơn, mực in, và nhựa epoxy. Các dẫn xuất khác của benzyl được dùng làm chất hóa dẻo cho polymer, giúp tăng độ linh hoạt và độ bền cho sản phẩm nhựa.
5. Quá trình tổng hợp và sản xuất hợp chất Benzyl quy mô công nghiệp diễn ra như thế nào?
Hợp chất benzyl được sản xuất công nghiệp chủ yếu qua hai con đường: halogen hóa và thủy phân Toluene, hoặc khử hóa Andehit benzoic. Quá trình này đòi hỏi kiểm soát chặt chẽ về độ tinh khiết và tuân thủ các tiêu chuẩn an toàn như GHS.
6. Cần lưu ý gì về an toàn khi sử dụng hợp chất gốc Benzyl?
An toàn là ưu tiên hàng đầu. Luôn phải tham khảo Bảng chỉ dẫn an toàn hóa chất (SDS) để biết thông tin về mối nguy, biện pháp sơ cứu và thiết bị bảo hộ cá nhân (PPE) cần thiết. Việc bảo quản và vận chuyển phải tuân thủ nghiêm ngặt các quy định hiện hành như Luật Hóa Chất 2025.
7. Các câu hỏi thường gặp (FAQ)
Câu 1: Benzyl Alcohol có phải là cồn khô không?
Không. Benzyl Alcohol là một loại cồn thơm, thuộc nhóm chung là ancol, nhưng khác hoàn toàn với cồn khô (ethanol).
Câu 2: Ở nồng độ nào thì Benzyl Alcohol an toàn cho da?
Trong mỹ phẩm, nồng độ an toàn lên tới 5%, nhưng thường được giữ dưới 1% trong sản phẩm không rửa trôi. Luôn tuân thủ quy định của Bộ Y tế Việt Nam.
Câu 3: Làm sao để nhận biết Benzyl Alcohol chất lượng cao?
Sản phẩm chất lượng cao thường không màu, mùi thơm nhẹ, và quan trọng nhất là có Giấy chứng nhận Phân tích (COA) đi kèm.
Câu 4: Doanh Tín có cung cấp các dẫn xuất khác của gốc benzyl không?
Có. Ngoài Ancol Benzylic, chúng tôi còn cung cấp Benzyl Benzoate, Benzyl Acetate và các hóa chất khác. Vui lòng liên hệ đội ngũ kinh doanh để được tư vấn.
Kết luận
Gốc benzyl, từ một khái niệm trong sách giáo khoa, đã chứng tỏ vai trò không thể thiếu trong vô số ngành công nghiệp. Hiểu rõ về nó không chỉ giúp ứng dụng hiệu quả mà còn đảm bảo an toàn và tuân thủ các tiêu chuẩn chất lượng. Tại Hóa Chất Doanh Tín, chúng tôi cam kết cung cấp các sản phẩm hóa chất gốc benzyl đạt chuẩn, kèm theo sự tư vấn kỹ thuật chuyên sâu, giúp quý khách hàng tối ưu hóa quy trình sản xuất và phát triển sản phẩm một cách bền vững.
Yêu Cầu Tư Vấn Kỹ Thuật
Bạn có thắc mắc về việc ứng dụng các hợp chất gốc benzyl trong quy trình sản xuất của mình? Đừng ngần ngại. Đội ngũ chuyên gia của chúng tôi sẵn sàng hỗ trợ.
Người kiểm duyệt nội dung
PGS.TS Đặng Hoàng Phú
Cố vấn chuyên môn cấp cao tại Hóa Chất Doanh Tín. Phó Giáo sư, Giảng viên Khoa Hóa học (ĐH KHTN ĐHQG-HCM) với hơn 10 năm kinh nghiệm nghiên cứu Hóa hữu cơ & Phổ nghiệm.
Xem hồ sơ năng lực & công bố khoa học →




