Bạn đang tìm hiểu về Cyclohexene? Bài viết này sẽ cung cấp một cái nhìn chi tiết và chuyên sâu về Cyclohexene (C₆H₁₀), từ cấu trúc phân tử, các tính chất hóa học đặc trưng, phương pháp điều chế phổ biến, cho đến những ứng dụng không thể thiếu trong ngành công nghiệp hóa chất hiện đại.
Cyclohexene là gì?
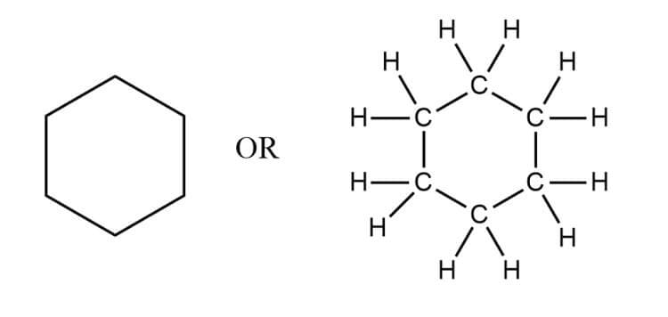
Cyclohexene (C₆H₁₀) là một hợp chất hữu cơ dạng lỏng, không màu, thuộc nhóm hydrocacbon mạch vòng không no (cycloalkene). Cấu trúc của nó bao gồm một vòng 6 nguyên tử carbon với một liên kết đôi C=C, làm cho nó có khả năng phản ứng hóa học cao và là một hóa chất trung gian quan trọng trong công nghiệp.

Cyclohexene (công thức phân tử C₆H₁₀) là một hợp chất hydrocacbon mạch vòng (cycloalkene) quan trọng. Về cơ bản, nó là một vòng sáu carbon chứa một liên kết đôi, khiến nó trở thành một hydrocacbon không no. Trái ngược với các ankan (hydrocacbon no), sự hiện diện của liên kết đôi C=C làm cho Cyclohexene có khả năng phản ứng cao hơn đáng kể, đặc biệt là trong các phản ứng cộng.
Đây là một chất lỏng không màu, có mùi đặc trưng và không tan trong nước nhưng tan tốt trong nhiều dung môi hữu cơ như ethanol và benzen.
Cấu trúc và Tính chất Hóa học của Cyclohexene
Cyclohexene có công thức C₆H₁₀, cấu trúc vòng 6 carbon chứa một liên kết đôi. Nó là chất lỏng không màu, sôi ở 83°C, nhẹ hơn nước. Về mặt hóa học, nó dễ dàng tham gia phản ứng cộng vào liên kết đôi và có thể bị oxy hóa để tạo thành các hợp chất khác.
- Công thức phân tử: C₆H₁₀
- Cấu trúc: Một vòng 6 carbon với một liên kết đôi.
- Tính chất vật lý:
- Trạng thái: Chất lỏng không màu, mùi hơi hăng.
- Nhiệt độ sôi: Khoảng 83°C (356 K).
- Nhiệt độ nóng chảy: -103.5°C (169.6 K).
- Tỷ trọng: 0.811 g/cm³, nhẹ hơn nước.
- Tính chất hóa học:
- Phản ứng cộng: Liên kết đôi C=C là trung tâm phản ứng của Cyclohexene, dễ dàng tham gia phản ứng cộng với hydro (hydro hóa), các halogen (như Brom), và các axit halogenua.
- Phản ứng oxy hóa: Cyclohexene có thể bị oxy hóa bởi các tác nhân mạnh như Kali pemanganat (KMnO₄) hoặc ozone (O₃), phá vỡ liên kết đôi và tạo ra các sản phẩm quan trọng như axit adipic.

Phương pháp điều chế Cyclohexene
Cyclohexene được điều chế chủ yếu bằng hai phương pháp: (1) Phản ứng tách nước từ cyclohexanol với xúc tác axit mạnh (H₂SO₄ hoặc H₃PO₄) và nhiệt độ; (2) Phản ứng hydro hóa một phần benzen trong điều kiện được kiểm soát chặt chẽ.
Cyclohexene chủ yếu được tổng hợp trong công nghiệp qua hai con đường chính:
Tách nước từ Cyclohexanol
Đây là phương pháp phổ biến trong phòng thí nghiệm. Bằng cách đun nóng Cyclohexanol (một loại rượu hay ancol) với một axit mạnh làm xúc tác như axit sunfuric (H₂SO₄) hoặc axit photphoric (H₃PO₄), phân tử nước (H₂O) sẽ bị loại bỏ để tạo thành liên kết đôi, sinh ra Cyclohexene.
Phương trình phản ứng: C₆H₁₁OH ⟶ C₆H₁₀ + H₂O
Hydro hóa một phần Benzen
Trong công nghiệp, người ta có thể điều chế Cyclohexene bằng cách hydro hóa có kiểm soát benzen. Phản ứng này cần xúc tác và điều kiện nghiêm ngặt để đảm bảo chỉ có một liên kết đôi trong vòng benzen bị bão hòa. Đây là một quy trình công nghệ cao, đòi hỏi sự chính xác để đạt hiệu suất mong muốn.
Ứng dụng thực tế của Cyclohexene
Ứng dụng quan trọng nhất của Cyclohexene là làm nguyên liệu sản xuất axit adipic, một tiền chất chính để sản xuất nylon 6,6. Ngoài ra, nó còn được dùng để tổng hợp cyclohexanol, cyclohexanone và làm dung môi trong một số ngành công nghiệp.
Cyclohexene là một tiền chất hóa học cực kỳ giá trị với nhiều ứng dụng quan trọng. Theo các báo cáo ngành hóa chất gần đây, nhu cầu về các sản phẩm phái sinh từ cyclohexene vẫn duy trì đà tăng trưởng ổn định, củng cố vai trò của nó trong chuỗi cung ứng toàn cầu.
- Sản xuất Axit Adipic: Đây là ứng dụng lớn nhất của Cyclohexene. Thông qua quá trình oxy hóa, Cyclohexene được chuyển hóa thành axit adipic, một trong hai thành phần chính để sản xuất Nylon 6,6, một loại polymer quan trọng trong ngành dệt may, sản xuất thảm, linh kiện ô tô và nhựa kỹ thuật.
- Tổng hợp các hóa chất khác: Nó là nguyên liệu để sản xuất Cyclohexanol và Cyclohexanone (“dầu ông già“). Cả hai chất này đều là dung môi công nghiệp và là tiền chất quan trọng trong chuỗi sản xuất Nylon.
- Dung môi: Do khả năng hòa tan tốt các chất hữu cơ khác, nó cũng được sử dụng làm dung môi trong một số quy trình hóa học đặc thù, bao gồm chiết xuất và làm sạch.
An toàn khi sử dụng Cyclohexene
Cyclohexene là chất lỏng dễ cháy và hơi của nó có thể gây kích ứng. Khi sử dụng, cần tuân thủ nghiêm ngặt các biện pháp an toàn: tránh xa nguồn lửa, sử dụng trong khu vực thông thoáng, và trang bị đầy đủ đồ bảo hộ cá nhân (găng tay, kính).
Làm việc với hóa chất luôn đòi hỏi sự cẩn trọng. Đối với Cyclohexene, cần tuân thủ các quy tắc an toàn sau:
- Nguy cơ cháy nổ: Cyclohexene là chất lỏng rất dễ cháy (nhiệt độ chớp cháy -12°C). Cần tránh xa nguồn nhiệt, tia lửa và các nguồn gây cháy khác.
- Độc tính: Hít phải hơi Cyclohexene có thể gây kích ứng hệ hô hấp, chóng mặt và có tác dụng gây mê ở nồng độ cao.
- Bảo quản: Cần bảo quản hóa chất này trong các thùng chứa kín, đặt ở nơi khô ráo, thoáng mát, và tuân thủ các quy định về ghi nhãn hóa chất theo GHS để nhận biết các mối nguy.
So sánh Nhanh: Cyclohexene vs. Cyclohexane
| Tiêu chí | Cyclohexene | Cyclohexane |
|---|---|---|
| Công thức | C₆H₁₀ | C₆H₁₂ |
| Loại Hydrocacbon | Cycloalkene (không no) | Cycloalkane (no) |
| Liên kết đôi C=C | Có một liên kết đôi | Không có |
| Tính phản ứng | Phản ứng mạnh hơn, đặc biệt là phản ứng cộng. | Kém phản ứng hơn, bền vững. |
| Ứng dụng chính | Tiền chất tổng hợp axit adipic, cyclohexanone. | Dung môi, nguyên liệu sản xuất nylon. |
Cyclohexane, một ankan vòng, có tính chất hóa học tương đối trơ hơn hẳn so với Cyclohexene.
Câu hỏi thường gặp (FAQ)
Làm thế nào để phân biệt Cyclohexene và Cyclohexane?
Dùng dung dịch nước Brom (Br₂). Cyclohexene sẽ làm mất màu nâu đỏ của dung dịch Brom do phản ứng cộng, trong khi Cyclohexane không phản ứng và dung dịch không đổi màu.
Cyclohexene có trong tự nhiên không?
Không, Cyclohexene rất hiếm gặp trong tự nhiên. Nó chủ yếu được sản xuất thông qua tổng hợp hóa học trong phòng thí nghiệm và quy mô công nghiệp.
Cyclohexene có độc không?
Có, hơi của Cyclohexene có thể gây kích ứng đường hô hấp và hệ thần kinh trung ương. Cần tuân thủ nghiêm ngặt các biện pháp an toàn lao động khi tiếp xúc.
Tuyên bố miễn trừ trách nhiệm: Thông tin trong bài viết này được tổng hợp từ các nguồn khoa học đáng tin cậy và chỉ mang tính chất tham khảo. Việc sử dụng hóa chất cần được thực hiện bởi những người có chuyên môn và trang thiết bị phù hợp.
Người kiểm duyệt nội dung
PGS.TS Đặng Hoàng Phú
Cố vấn chuyên môn cấp cao tại Hóa Chất Doanh Tín. Phó Giáo sư, Giảng viên Khoa Hóa học (ĐH KHTN ĐHQG-HCM) với hơn 10 năm kinh nghiệm nghiên cứu Hóa hữu cơ & Phổ nghiệm.
Xem hồ sơ năng lực & công bố khoa học →



