Ancol Isopropylic (IPA) là một trong những dung môi công nghiệp linh hoạt và thiết yếu nhất hiện nay. Tuy nhiên, để khai thác tối đa hiệu quả và đảm bảo an toàn tuyệt đối, việc hiểu rõ bản chất, các thông số kỹ thuật và tiêu chuẩn ứng dụng của nó là yêu cầu bắt buộc. Bài viết này không chỉ là một tài liệu thông thường, mà là một trang thông tin trụ cột (Pillar Page), đi sâu vào mọi khía echnical giúp doanh nghiệp của bạn đưa ra lựa chọn tối ưu.
Bảng Tóm Tắt Thông Số Kỹ Thuật Chính Của Ancol Isopropylic Cho Thấy Điều Gì?
Bảng thông số kỹ thuật chính cho thấy các chỉ số quan trọng như độ tinh khiết (≥ 99.9%), hàm lượng nước (≤ 0.1%), độ axit và màu sắc. Các thông số này quyết định sự phù hợp của IPA cho các ứng dụng công nghiệp nhạy cảm, đảm bảo chất lượng và hiệu suất sản phẩm cuối cùng.
| Thuộc tính | Giá trị tiêu biểu | Ý nghĩa đối với ứng dụng |
|---|---|---|
| Độ tinh khiết | ≥ 99.9% | Đảm bảo không có tạp chất ảnh hưởng đến quy trình nhạy cảm (dược, điện tử). |
| Hàm lượng nước | ≤ 0.1% | Ngăn ngừa ăn mòn, đặc biệt quan trọng trong ngành điện tử và sơn. |
| Độ axit (as Acetic) | ≤ 0.002% | Tránh phản ứng phụ không mong muốn, bảo vệ thiết bị. |
| Màu sắc (APHA) | ≤ 10 | Là chỉ số về độ sạch, sản phẩm trong suốt không màu. |
Bảng thông số kỹ thuật (TDS) mẫu của Ancol Isopropylic do Hóa Chất Doanh Tín cung cấp, làm nổi bật các chỉ số quan trọng như độ tinh khiết và hàm lượng nước.
1. Tổng Quan Kỹ Thuật Về Ancol Isopropylic (IPA) là gì?
Ancol Isopropylic (IPA) là một hợp chất hữu cơ không màu, dễ bay hơi, có công thức hóa học C₃H₈O. Nó là một ancol bậc hai, được biết đến với nhiều tên gọi như Isopropyl Alcohol hay 2-Propanol, và đóng vai trò quan trọng như một dung môi trong nhiều ngành công nghiệp.
Ancol Isopropylic, còn được biết đến với các tên gọi như Isopropyl Alcohol, 2-Propanol hay Propan-2-ol, là một hợp chất hữu cơ không màu, dễ bay hơi, có mùi đặc trưng. Đây là một ancol bậc hai, giữ vai trò quan trọng trong vô số quy trình sản xuất công nghiệp.
Cấu trúc hóa học và cách định danh Ancol Isopropylic như thế nào?
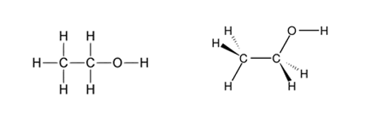
Ancol Isopropylic được định danh qua công thức phân tử C₃H₈O, công thức cấu tạo CH₃−CH(OH)−CH₃, và mã số quốc tế CAS là 67-63-0. Cấu trúc đặc trưng với nhóm hydroxyl (-OH) ở carbon bậc hai quyết định các tính chất hóa học của nó.
Công thức phân tử: C₃H₈O
Công thức cấu tạo: CH₃−CH(OH)−CH₃
Số CAS: 67-63-0
Đặc điểm cấu trúc: Cấu trúc này có một nhóm hydroxyl (-OH) liên kết với carbon ở vị trí thứ hai. Đây chính là yếu tố quyết định các tính chất hóa học và khả năng hòa tan vượt trội của IPA.
Với kinh nghiệm của Hóa Chất Doanh Tín, việc xác định đúng Số CAS (67-63-0) là bước đầu tiên và quan trọng nhất để đảm bảo bạn đang mua đúng loại hóa chất, tránh nhầm lẫn với các ancol khác như n-Propanol hay Ethanol (CAS 64-17-5).

Từ góc nhìn chuyên gia: “Đừng nhầm lẫn IPA với Ethanol!”
Nguyễn Thị Mỹ Linh, Trưởng phòng Kỹ thuật Hóa Chất Doanh Tín, chia sẻ: “Rất nhiều khách hàng lần đầu liên hệ với chúng tôi thường nhầm lẫn giữa IPA và Ethanol. Mặc dù đều là cồn, nhưng cấu trúc bậc hai của IPA mang lại khả năng hòa tan các loại dầu mỡ và nhựa thông tốt hơn đáng kể. Đây là lý do tại sao trong ngành điện tử, IPA luôn là lựa chọn số một để vệ sinh bo mạch. Hiểu đúng bản chất hóa học giúp bạn tiết kiệm chi phí và nâng cao chất lượng sản phẩm.”
2. Isopropyl Alcohol có những tính chất lý hóa then chốt nào?
Các tính chất lý hóa then chốt của Isopropyl Alcohol bao gồm khả năng tan vô hạn trong nước, tốc độ bay hơi nhanh (nhưng chậm hơn Acetone), và các phản ứng hóa học đặc trưng của ancol bậc hai như oxy hóa tạo thành Axeton và phản ứng este hóa.
Hiểu rõ các tính chất vật lý và hóa học của IPA giúp kiểm soát quy trình sản xuất, tối ưu hóa hiệu suất và đảm bảo an toàn lao động.
Tính chất vật lý đặc trưng của IPA là gì?
Các tính chất vật lý đặc trưng của IPA bao gồm khối lượng riêng khoảng 0.786 g/cm³, nhiệt độ sôi 82.6 °C, tan vô hạn trong nước và tốc độ bay hơi nhanh, lý tưởng cho các ứng dụng làm sạch mà không để lại cặn.
- Khối lượng riêng (ở 20°C): Khoảng 0.786 g/cm³
- Nhiệt độ sôi: 82.6 °C (180.7 °F)
- Nhiệt độ nóng chảy: -89 °C (-128 °F)
- Độ tan trong nước: Tan vô hạn. Đây là một ưu điểm lớn, cho phép IPA dễ dàng được pha loãng đến các nồng độ khác nhau để phục vụ đa dạng mục đích.
- Tốc độ bay hơi: Nhanh nhưng chậm hơn Acetone, giúp nó làm sạch bề mặt hiệu quả mà không khô quá nhanh, đủ thời gian để hòa tan chất bẩn.
Các phản ứng hóa học quan trọng của IPA là gì?
Các phản ứng hóa học quan trọng của IPA bao gồm phản ứng oxy hóa để tạo thành Axeton, phản ứng este hóa với axit axetic để tạo Isopropyl Acetate, và phản ứng khử nước để tạo Propene. Đây là nền tảng cho nhiều ứng dụng tổng hợp hóa chất.
Là một ancol bậc hai, IPA thể hiện các phản ứng hóa học đặc trưng, là tiền đề cho nhiều ứng dụng tổng hợp hóa chất:
- Phản ứng oxy hóa: Khi tác dụng với chất oxy hóa mạnh (như Kali Dicromat trong môi trường axit), IPA bị oxy hóa tạo thành Axeton (CH₃COCH₃). Đây là một trong những phương pháp chính để sản xuất Axeton công nghiệp.
- Phản ứng Este hóa: Tác dụng với axit axetic (có xúc tác axit) tạo thành Isopropyl Acetate, một dung môi quan trọng trong ngành sơn và mực in.
- Phản ứng khử nước: Có thể tạo ra Propene khi có xúc tác và nhiệt độ phù hợp.
3. Ancol Isopropylic được điều chế trong công nghiệp như thế nào?
Trong công nghiệp, Ancol Isopropylic chủ yếu được điều chế qua hai phương pháp chính: hydrat hóa trực tiếp Propene với nước dưới áp suất cao và hydro hóa Axeton với sự hiện diện của chất xúc tác kim loại như Niken.
Hiện nay, có hai phương pháp chính để sản xuất IPA trên quy mô lớn, mỗi phương pháp có ưu và nhược điểm riêng.
Phương pháp Hydrat hóa trực tiếp Propene hoạt động ra sao?
Đây là phương pháp phổ biến nhất, trong đó Propene (C₃H₆) và nước phản ứng trực tiếp với nhau ở nhiệt độ và áp suất cao, với sự hỗ trợ của chất xúc tác rắn gốc axit, tạo ra sản phẩm IPA có độ tinh khiết cao.
Đây là phương pháp phổ biến nhất. Propene (C₃H₆) và nước được cho phản ứng với nhau ở áp suất và nhiệt độ cao, sử dụng chất xúc tác rắn gốc axit. Phương pháp này cho hiệu suất cao và sản phẩm có độ tinh khiết tốt, phù hợp cho các ứng dụng đòi hỏi chất lượng khắt khe.
Phương pháp Hydro hóa Axeton là gì?
Phương pháp này liên quan đến việc hydro hóa Axeton, tức là cho Axeton phản ứng với hydro dưới sự xúc tác của kim loại như Niken Raney hoặc Ruthenium. Phương pháp này hiệu quả khi có nguồn cung Axeton dồi dào.
Axeton được hydro hóa (phản ứng với hydro) với xúc tác kim loại như Niken Raney hoặc Ruthenium. Phương pháp này thường được sử dụng khi nguồn cung Axeton dồi dào và giá cả cạnh tranh.
Sơ đồ hoặc hình ảnh một nhà máy hóa chất hiện đại, minh họa quy trình sản xuất IPA công nghiệp.
4. Ancol Isopropylic có 7 ứng dụng chuyên ngành nào?
Bảy ứng dụng chuyên ngành chính của Ancol Isopropylic bao gồm: (1) Dung môi tẩy rửa công nghiệp, (2) Chất khử trùng y tế, (3) Thành phần trong mỹ phẩm, (4) Chất trung gian tổng hợp hóa học, (5) Ứng dụng trong sơn và mực in, (6) Phụ gia nhiên liệu, và (7) Các ứng dụng khác trong dệt may, phòng thí nghiệm.
Sự kết hợp giữa khả năng hòa tan tốt, tốc độ bay hơi được kiểm soát và độc tính tương đối thấp làm cho IPA trở thành một hóa chất không thể thiếu.
Tại sao IPA là dung môi tẩy rửa công nghiệp và làm sạch bề mặt hiệu quả?
IPA là dung môi tẩy rửa hiệu quả, đặc biệt là loại 99%, vì nó hòa tan tốt dầu mỡ, cặn trợ hàn (flux) và các chất bẩn không phân cực khác mà không ăn mòn vật liệu. Tốc độ bay hơi nhanh giúp bề mặt khô sạch không để lại vết, lý tưởng cho ngành điện tử và cơ khí chính xác.
Đây là ứng dụng lớn nhất của IPA, đặc biệt là IPA 99%.
- Ngành điện tử: Dùng để làm sạch bo mạch in (PCB), linh kiện điện tử, đầu từ, và các thiết bị quang học.
- Công nghiệp chính xác: Tẩy rửa các bộ phận cơ khí, khuôn mẫu trước khi sơn hoặc mạ.
IPA được sử dụng như chất khử trùng và sát khuẩn trong Y tế – Dược phẩm như thế nào?
Dung dịch IPA ở nồng độ 70% được sử dụng rộng rãi làm chất sát khuẩn vì nó có khả năng phá vỡ màng tế bào và làm biến tính protein của vi khuẩn, virus và nấm. Nó thường được dùng để sát trùng da trước khi tiêm và vệ sinh các bề mặt, dụng cụ y tế.
Dung dịch IPA 70% có khả năng diệt khuẩn, virus và nấm hiệu quả, thường được dùng để sát trùng da và vệ sinh dụng cụ y tế. Hiệu quả của nó có thể so sánh với các chất khử trùng phổ biến khác như Chloramin B, mặc dù cơ chế hoạt động khác nhau.
Ứng dụng của IPA trong ngành mỹ phẩm và chăm sóc cá nhân là gì?
Trong mỹ phẩm, IPA (chuẩn USP) hoạt động như một dung môi giúp hòa tan hương liệu và các thành phần khác, đồng thời giúp sản phẩm bay hơi nhanh trên da. Nó là thành phần chính trong nước hoa, xịt khử mùi, keo xịt tóc và đặc biệt là nước tẩy sơn móng tay.
IPA (chuẩn USP) được sử dụng trong nước hoa, xịt khử mùi, keo xịt tóc và đặc biệt là nước tẩy sơn móng tay nhờ khả năng hòa tan tốt và bay hơi nhanh.
Vai trò của IPA như một chất trung gian trong tổng hợp hóa học?
IPA là một hóa chất nền tảng, đóng vai trò là nguyên liệu đầu vào để sản xuất ra nhiều hợp chất hóa học quan trọng khác. Các sản phẩm phái sinh phổ biến bao gồm Isopropyl Acetate (dung môi), Isopropylamine (dùng trong sản xuất thuốc trừ sâu) và Glycerol.
IPA là nguyên liệu đầu vào để sản xuất nhiều hóa chất quan trọng khác, bao gồm Isopropyl Acetate, Isopropylamine, và Glycerol.
IPA được ứng dụng trong ngành sơn, mực in và chất phủ ra sao?
Với tốc độ bay hơi vừa phải, IPA được sử dụng như một dung môi làm chậm quá trình khô của sơn và mực in. Đặc biệt, nó hoạt động như một chất kháng đục trong sơn nitrocellulose, ngăn ngừa hiện tượng bề mặt sơn bị mờ do ngưng tụ hơi ẩm, giúp lớp phủ cuối cùng bóng và mịn.
Nhờ tốc độ bay hơi vừa phải, IPA được dùng làm chất kháng đục trong sơn nitrocellulose, giúp bề mặt sơn bóng đẹp.
Tại sao IPA được dùng làm phụ gia nhiên liệu và chất chống đông?
IPA được thêm vào xăng vì nó có khả năng hòa tan nước lẫn vào nhiên liệu. Điều này giúp ngăn chặn nước tích tụ và đóng băng trong đường ống dẫn nhiên liệu, đặc biệt quan trọng ở các vùng khí hậu lạnh, đảm bảo động cơ hoạt động ổn định.
IPA được thêm vào xăng như một chất làm khô khí và ngăn ngừa đóng băng đường ống dẫn nhiên liệu vào mùa đông.
Các ứng dụng khác của IPA là gì?
Ngoài các ứng dụng chính, IPA còn được sử dụng trong ngành dệt may làm dung môi nhuộm, trong phòng thí nghiệm để chiết xuất và bảo quản mẫu vật, và là thành phần hoạt tính trong nhiều sản phẩm tẩy rửa gia dụng như nước lau kính.
IPA còn được ứng dụng trong ngành dệt may, phòng thí nghiệm (chiết xuất, bảo quản mẫu), và là thành phần trong các sản phẩm lau kính, tẩy rửa gia dụng. Để khám phá danh mục đầy đủ các loại hóa chất công nghiệp và dung môi do Doanh Tín cung cấp, mời bạn tham khảo tại cửa hàng của chúng tôi.
5. Cần tuân thủ những tiêu chuẩn an toàn nào khi sử dụng và bảo quản Ancol Isopropylic tại Việt Nam?
Khi sử dụng và bảo quản IPA, cần tuân thủ các tiêu chuẩn an toàn nghiêm ngặt: nhận diện rủi ro cháy nổ, trang bị đầy đủ phương tiện bảo hộ cá nhân (PPE), lưu trữ ở nơi khô ráo, thoáng mát, và tuân thủ các quy định của Luật Hóa chất Việt Nam cũng như hệ thống ghi nhãn GHS.
Tại Hóa Chất Doanh Tín, an toàn luôn là ưu tiên hàng đầu. Việc tuân thủ nghiêm ngặt các quy định là bắt buộc.
Làm thế nào để nhận diện rủi ro và trang bị bảo hộ (PPE) đúng cách?
Cần nhận diện IPA là hóa chất dễ cháy với hơi nặng hơn không khí, có thể lan đến nguồn lửa. Do đó, trang bị bảo hộ cá nhân (PPE) bắt buộc bao gồm kính bảo hộ hóa học, găng tay chống hóa chất (nitrile), và làm việc trong khu vực có hệ thống thông gió tốt để tránh hít phải hơi dung môi.
Mức độ nguy hiểm: Dễ cháy. Hơi của nó nặng hơn không khí và có thể lan truyền đến nguồn gây cháy.
Trang bị bảo hộ cá nhân (PPE): Luôn sử dụng kính bảo hộ hóa học, găng tay chống hóa chất và làm việc trong khu vực thông gió tốt.

Hướng dẫn lưu trữ và bảo quản IPA theo tiêu chuẩn là gì?
IPA phải được bảo quản trong các thùng chứa chuyên dụng, đậy kín nắp, tại khu vực khô ráo, thoáng mát, và phải tuyệt đối tránh xa các nguồn nhiệt, tia lửa hoặc ánh nắng trực tiếp. Kho chứa phải tuân thủ Luật Hóa chất và có hệ thống phòng cháy chữa cháy phù hợp.
Khu vực lưu trữ: Bảo quản hóa chất như IPA cần tuân thủ các nguyên tắc nghiêm ngặt: đặt ở nơi khô ráo, thoáng mát, tránh xa nguồn nhiệt.
Tuân thủ quy định: Đảm bảo tuân thủ các quy định mới nhất của Luật Hóa chất và các quy định về ghi nhãn hóa chất theo GHS. Kho chứa phải có biển báo an toàn và hệ thống PCCC phù hợp.
6. Tại sao nên chọn Hóa Chất Doanh Tín làm nhà cung cấp Ancol Isopropylic?
Nên chọn Hóa Chất Doanh Tín vì chúng tôi không chỉ cung cấp sản phẩm IPA tinh khiết, chất lượng ổn định với nguồn gốc rõ ràng, mà còn mang lại sự an tâm về mặt kỹ thuật và pháp lý thông qua dịch vụ tư vấn chuyên sâu và hỗ trợ đầy đủ các chứng từ cần thiết (COA, MSDS).
Việc lựa chọn đúng nhà cung cấp không chỉ đảm bảo chất lượng sản phẩm mà còn cả sự an tâm về mặt kỹ thuật và pháp lý. Hóa Chất Doanh Tín cam kết cung cấp sản phẩm Ancol Isopropylic (IPA) tinh khiết với các tiêu chuẩn:
- Chất lượng ổn định: Cung cấp IPA có độ tinh khiết cao (từ 99.5% trở lên).
- Nguồn gốc rõ ràng: Sản phẩm nhập khẩu, đầy đủ COA (Certificate of Analysis).
- Tư vấn kỹ thuật chuyên sâu: Đội ngũ chuyên gia sẵn sàng hỗ trợ bạn.
- Hỗ trợ pháp lý: Cung cấp đầy đủ Phiếu An toàn Hóa chất (MSDS).
Các Câu Hỏi Thường Gặp (FAQ) Về Ancol Isopropylic
1. Nồng độ IPA 70% và 99% khác nhau như thế nào?
IPA 99% là dung môi tẩy rửa mạnh, bay hơi nhanh, lý tưởng cho ngành điện tử. Trong khi đó, IPA 70% (pha với nước) lại là chất khử trùng hiệu quả hơn vì nước làm chậm quá trình bay hơi, tăng thời gian tiếp xúc và giúp IPA thẩm thấu qua màng tế bào vi sinh vật tốt hơn.
2. Ancol Isopropylic có uống được không?
TUYỆT ĐỐI KHÔNG. IPA là hóa chất công nghiệp có độc tính cao khi nuốt phải, có thể gây tổn thương nghiêm trọng cho hệ thần kinh, nội tạng và dẫn đến tử vong. Nó hoàn toàn khác với cồn thực phẩm (Ethanol).
3. Làm thế nào để xử lý khi IPA bị đổ ra sàn?
Khi IPA bị đổ, cần ngay lập tức cách ly các nguồn gây cháy, đảm bảo khu vực được thông gió tốt. Sử dụng vật liệu thấm hút trơ như cát hoặc đất sét thấm dầu để thu gom hóa chất, sau đó xử lý theo quy định về chất thải nguy hại.
4. Hóa Chất Doanh Tín có cung cấp IPA cho khách hàng cá nhân không?
Chúng tôi chủ yếu tập trung phục vụ các khách hàng doanh nghiệp và công nghiệp với các đơn hàng số lượng lớn để đảm bảo giá cả và dịch vụ tốt nhất. Tuy nhiên, quý khách vui lòng liên hệ bộ phận kinh doanh để được tư vấn cho các trường hợp cụ thể.
Liên Hệ Để Nhận Tư Vấn Kỹ Thuật Miễn Phí
Bạn vẫn còn thắc mắc về việc lựa chọn loại IPA phù hợp? Quy trình của bạn có yêu cầu đặc biệt? Đừng ngần ngại, hãy điền vào form dưới đây để các chuyên gia của chúng tôi liên hệ tư vấn trực tiếp.
➡️ [Form liên hệ: Họ tên, Tên công ty, Email, Số điện thoại, Nội dung yêu cầu]
Tuyên bố miễn trừ trách nhiệm: Các thông tin trong bài viết chỉ mang tính chất tham khảo. Người sử dụng có trách nhiệm tuân thủ các quy định an toàn tại cơ sở. Vui lòng tham khảo Phiếu An toàn Hóa chất (MSDS) đi kèm sản phẩm để có thông tin chính xác nhất.
Người kiểm duyệt nội dung
PGS.TS Đặng Hoàng Phú
Cố vấn chuyên môn cấp cao tại Hóa Chất Doanh Tín. Phó Giáo sư, Giảng viên Khoa Hóa học (ĐH KHTN ĐHQG-HCM) với hơn 10 năm kinh nghiệm nghiên cứu Hóa hữu cơ & Phổ nghiệm.
Xem hồ sơ năng lực & công bố khoa học →




